-
Posts
30 -
Joined
-
Last visited
Content Type
Profiles
Forums
Blogs
News
Store
Posts posted by Diregoldleaf
-
-
7 hours ago, Enderminion said:
That's not how that works. The chance of each toolhead breaking is independent. For this example two toolheads is only 79% confidence of getting at least one with six quenches. For a 95% chance of getting a six quench with 55% chance of success per toolhead you would need four rather than two, and there's still a one in twenty four of not getting it.
Firstly, my maths was off, not sure where I got the obtainability graph but it's clearly wrong starting at 2 quenches with 99% obtainability.
You are right saying 50% shatter chance doesn't guarantee 2 tool heads because of different outcomes, but I am not guaranteeing an outcome, just working on simple averages. Basically what I'm saying is, with an obtainability of 50%, 1/2 tools will shatter therefore you'd need an average of 2. You could have different success rates like 95% 80% etc, which is what you're saying
All off the maths is based off of early (and wrong) assumptions as well as testing, everything looks a whole lot easier to calculate from the code
6 hours ago, Teh Pizza Lady said:Taken as single events, sure, but for each event to happen on a single tool, you're looking at about a 30% chance of getting a tool with 6 quenches. That lowers to about 24% chance if you want to temper it after. That is the probability of all 6 quenches and 1 temper on a SINGLE tool, despite the individual chances of each even succeeding. You have to multiply them together to get the probability of all 7 events happening in succession. That's just how the math works. I'm not sure what math OP was doing but it doesn't look right. I shared the game's code and provided some real data if you quench a tool and then temper it. Your math was off because it was based on OP's numbers. Re-work your numbers with the formulas given in the code, please.
Not sure what you are trying to say here as you'd never end a tool in a temper. But let's say you did 5 Quenches, Temper, then Quench, .95 * .9 * .85 * .8 * .75 * .71 which is 31%. Makes sense that the obtainability would be higher after a temper
Great chart btw, very helpful. I think the numbers are a little off though, at 0 quench 0 temper, the shatter chance should be 5%. I think it also does matter which route you take, looking at the code. The reason I assumed shatter chance was 0 with a new falx is cos you can't temper it. If it's at 5% they should change it so you can temper before 1st quench
-
7 minutes ago, MKMoose said:
It effectively says that you can temper an item as many times as you wish, at any point, as long as that number doesn't exceed the number of times that you've quenched it. It doesn't match the in-game behavior because there's actually just no check comparing the numbers in the code, but it's not locked into a linear process either.
Fair enough, I must've heard it from a youtube video or read it somewhere. Either way, it's wrong. As you can see from the tree, I've tempered many many more times than the tool has been quenched, as well as vice versa, albiet in creative mode (someone tested it in survival mode)
I wouldn't trust the handbook though, the tempering and quenching pages aren't written well and are not very clear, and there are errors. Here it's supposed to say "if your quenching", not tempering
image.png
-
2
-
-
3 minutes ago, MKMoose said:
It literally doesn't say this, unless it's grossly mistranslated in whatever language you might be using.
Did you read it with your eyes closed, or your mind
5 minutes ago, MKMoose said:They can be found based on the code for the Quenchable behavior, most notably the applyTemperedStats() and applyQuenchedStats() functions. Though those are quite likely to still change if the current balance is deemed unsatisfactory.
Thank you so much, I will look into this
7 minutes ago, MKMoose said:As I see it, the maximum buffs obtainable through quenching are way too high. It's supposed to improve the tool, but the likes of 50% power gains are borderline absurd. I would much rather take a more skill-based mechanic with a lower but more consistent ceiling.
I haven't played it in survival so I'm only talking from theory, but the way I see it, you'd need 8 toolheads and a load of spare time. If someone manages to make a tool with 50% power gain, they deserve it. I can see where you're coming from though, a copper falx with 50% dmg bonus is stronger than steel. I would agree this is OP.
What I'm more worried about is the tempering mechanic not being fixed
-
So I made a mini tree for quench-temper combinations. At the moment tempering is broken, but when it is fixed, we can mathematically calculate the best possible combination to get to a certain part of the tree. PS, yes in the handbooks says you can only go linear quench-temper-quench etc, but either they lied, it's bugged (thus I wasted my time), or they changed it in a pre release. Either way, this tree mechanic is WAY more fun than the boring linear thing.
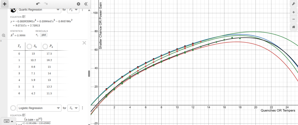
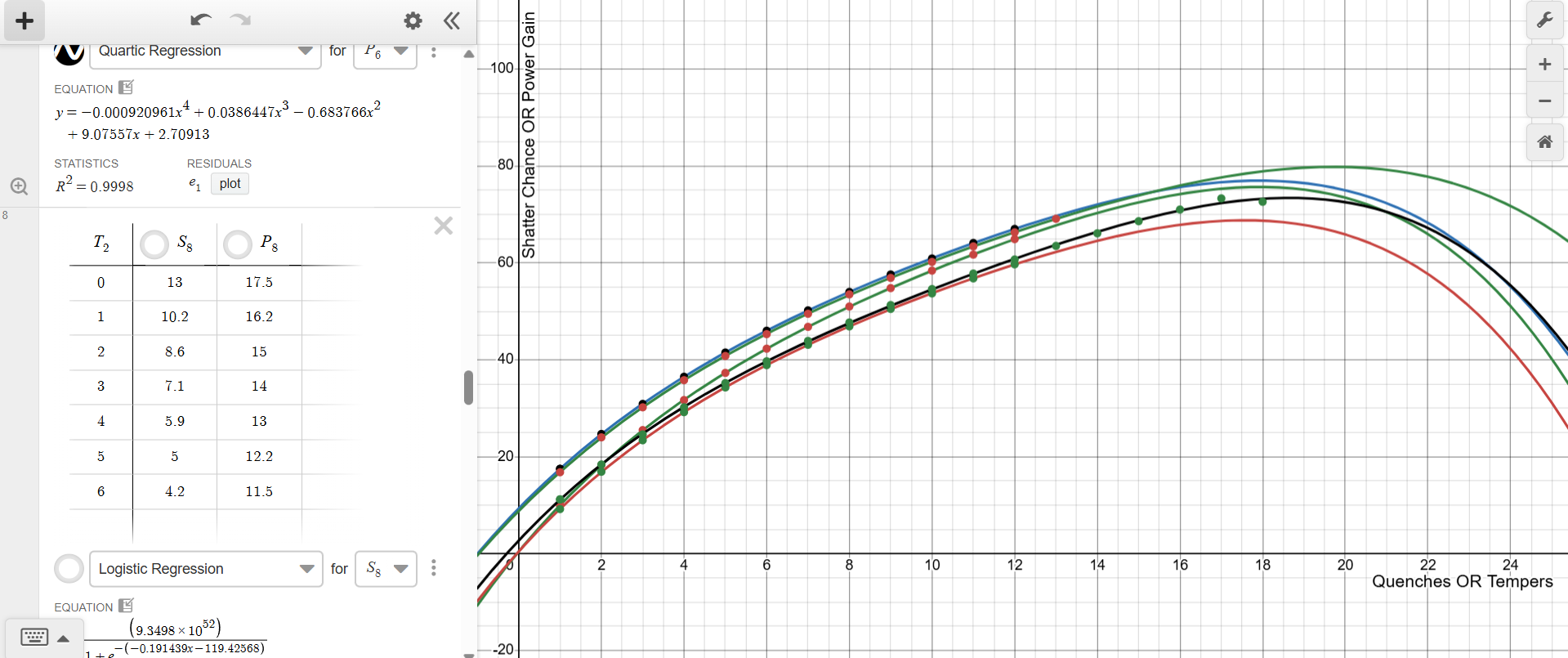
I've done some testing across the tree and I've got into the ballpark of what the shatter-chance and power-gain curves look like. Shatter chance is linear (gradient is 5), but for power-gain I highly suspect it isn't a single function, but multiple, and, using regression, I was only able to plot it semi-accurately to a quartic function. Different curves for different routes through the quench-temper tree.
As for tempering, it looks like an exponential curve, though I couldn't match it completely. Green function is the power gain; red is the shatter chance. At the moment tempering is useless, broken, and harmful I made a post on it on discord, hope the devs see it.
I put everything into tables. Here's some common obtainability chances after quenching a toolhead a certain number of times. Notice at 18 quenches in the far right table, the shatter chance and power gain drop, almost like a tempering mechanic. Not sure if this is intended but it fits into the quartic curve well. At 0.004% obtainability though, no one will ever have to worry about that (you've have to go through 250,000 tool heads)
Plotting it on a graph shows us how unobtainable certain quench numbers are. We can use this to calculate how many toolheads we'd need to get to a certain obtainability. For example, if I want to do 6 quenches (and get 40% power gain), it is ~55% obtainability, meaning I'd need 1/.55 ~= 2 toolheads. We can also do this backwards. If I have 10 toolheads to sacrifice, how many quenches would I be able to get probabilistically? 1/10 means I'd need at least 10% cumulative shatter chance, and we can see about 11% gives us 10 quenches. 9 tools shatter, 1 remains, giving us ~58% power gain.
And finally, the chart for how many toolheads you'd need for different number of quenches (Q#, no tempering).
Please devs show me the functions you used for shatter chance, power gain etc. I spent too long on this

If I'm able to get the exact functions, I will use it to write a python code that gives you the best possible path to get to a certain part of the tree.Some changes I would make to the system
-Return metal from shattered toolheads
-Allow removal of toolhead from tool to allow re-quenching. This would make the whole system more dynamic.-
1
-
Quenching-Tempering: Finding the best combination
in Discussion
Posted
Yes maybe
> Tempering 22 times is not exactly practical for most people, and it may get patched out if they end up adjusting the in-game behavior to match the handbook guide
ATM tempering is harmful/useless due to the cumulative shatter chance and you shouldn't temper at all (I used the old maths so could be wrong here)